首页
题库
网课
在线模考
桌面端
登录
搜标题
搜题干
搜选项
0
/ 200字
搜索
单项选择题
预计利润表中,利息支出是依据( )确定的。
A.销售预算
B.生产预算
C.产品生产成本预算
D.现金预算
点击查看答案&解析
在线练习
手机看题
你可能感兴趣的试题
问答题
为了防止验电盲区影响判断,高压验电应至少三点进行,每点相隔不小于( )米。
(A)0.3
(B)0.5
(C)0.35
(D)0.4
A.3
B.5
C.35
D.4
点击查看答案&解析
手机看题
问答题
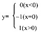
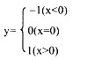
阅读下述程序段:
y=-1;
if(x!=0)
if(x>0)
y=1;
else
y=0;
该程序段所描述的数学关系是( )。
A.
B.
C.
D.
A.
B.shangxueba.cn/images/ct_ctcbm_ctcbchoosea_04727(20093).jpg'>
B.
C.shangxueba.cn/images/ct_ctcbm_ctcbchooseb_04727(20093).jpg'>
C.
D.shangxueba.cn/images/ct_ctcbm_ctcbchoosec_04727(20093).jpg'>
D.
点击查看答案&解析
手机看题
微信扫码免费搜题