首页
题库
网课
在线模考
桌面端
登录
搜标题
搜题干
搜选项
0
/ 200字
搜索
单项选择题
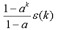
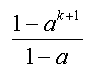
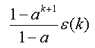
一个LTI系统,其输入
,,单位脉冲响应
,则
的结果为 ( )。
A.
B.
C.
D.
点击查看答案
在线练习
手机看题
你可能感兴趣的试题
判断题
80%信息由眼睛传入大脑的( )。
正确
错误
答案:
正确
点击查看答案
手机看题
单项选择题
我国温度的日较差和年较差随着纬度的升高是()。
A、日较差,年较差均减小B、日较差、年较差均增大C、年较差增大,日较差减小D、日较差增大,年较差减小
点击查看答案
手机看题
微信扫码免费搜题