微信扫一扫关注公众号后联系客服
微信扫码免费搜题
首页
题库
网课
在线模考
桌面端
登录
搜标题
搜题干
搜选项
单项选择题
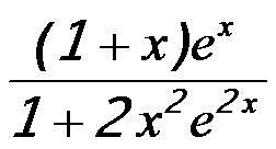
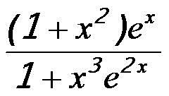
设
,而
,则
( )
A.
B.
C.
D.
点击查看答案
在线练习
手机看题
你可能感兴趣的试题
单项选择题
下列细菌中属于条件致病菌的是( )。
A、金黄色葡萄球菌
B、伤寒沙门菌
C、霍乱弧菌
D、铜绿假单胞菌
E、结核分枝杆菌
点击查看答案&解析
手机看题
问答题
防止受弯构件腹板局部失稳的途径?
答案:
答:(1)增加腹板的厚度tw但此法不很经济;
(2)设置加劲肋作为腹板的支承,将腹板分成尺寸较小的区段,以提高...
点击查看完整答案
手机看题