联系客服微信扫一扫关注公众号后联系客服
扫码练习微信扫码免费搜题
  • 首页

  • 题库

  • 网课

  • 在线模考

  • 桌面端

登录
  • 搜标题
  • 搜题干
  • 搜选项
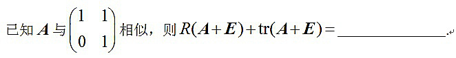
单项选择题

A.2
B.8
C.6
D.4
题目列表

你可能感兴趣的试题

  • 单项选择题

    马克思所说的:“愚蠢庸俗、斤斤计较、贪图私利的人总是看到自以为吃亏的事情;譬如,一个毫无修养的粗人常常只是因为一个过路人踩了他的鸡眼,就把这个人看作世界上最可恶和最卑鄙的坏蛋。他把自己的鸡眼当做评价人们行为的标准”。这是什么偏见?( ) A. 经验偏见 B. 利益偏见 C. 位置偏见 D. 文化偏见

  • 问答题

    浑元劲的作用?

    答案:\n \n \n
    通过训练无论在肌肉的强度、筋腱的韧性、神经紧张力方...
扫码联系扫码联系在线客服
反馈使用问题
扫码练习扫码使用找答案小程序
手机搜题/刷题/上网课

版权所有©考试资料网(ppkao.com) 长沙求知信息技术有限公司 All Rights Reserved

湘公网安备 43010202000353号备案号: 湘ICP备14005140号-2

经营许可证号 : 湘B2-20140064

  • 联系客服
  • 小程序
  • 桌面端下载
  • 回到顶部