微信扫一扫关注公众号后联系客服
微信扫码免费搜题
首页
题库
网课
在线模考
桌面端
登录
搜标题
搜题干
搜选项
问答题
研究前假定存在的因果联系中的结果变量是指
A、自变量
B、输入变量
C、刺激变量
D、因变量
答案:
因变量
点击查看答案
在线练习
手机看题
你可能感兴趣的试题
问答题
亚洲耕地面积最大的是哪个国家?
答案:
1.印度
2.泰国
正确答案:印度
印度是一个农业大国,农村人口占总人口的72%。印度是世界上最...
点击查看完整答案
手机看题
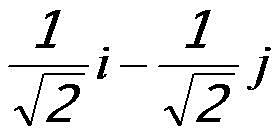
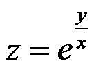
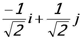
单项选择题
函数
在
点最大方向导数的单位方向向量是( )
A.
B.
C.
D.
点击查看答案
手机看题